集团新闻 行业动态 公示公告
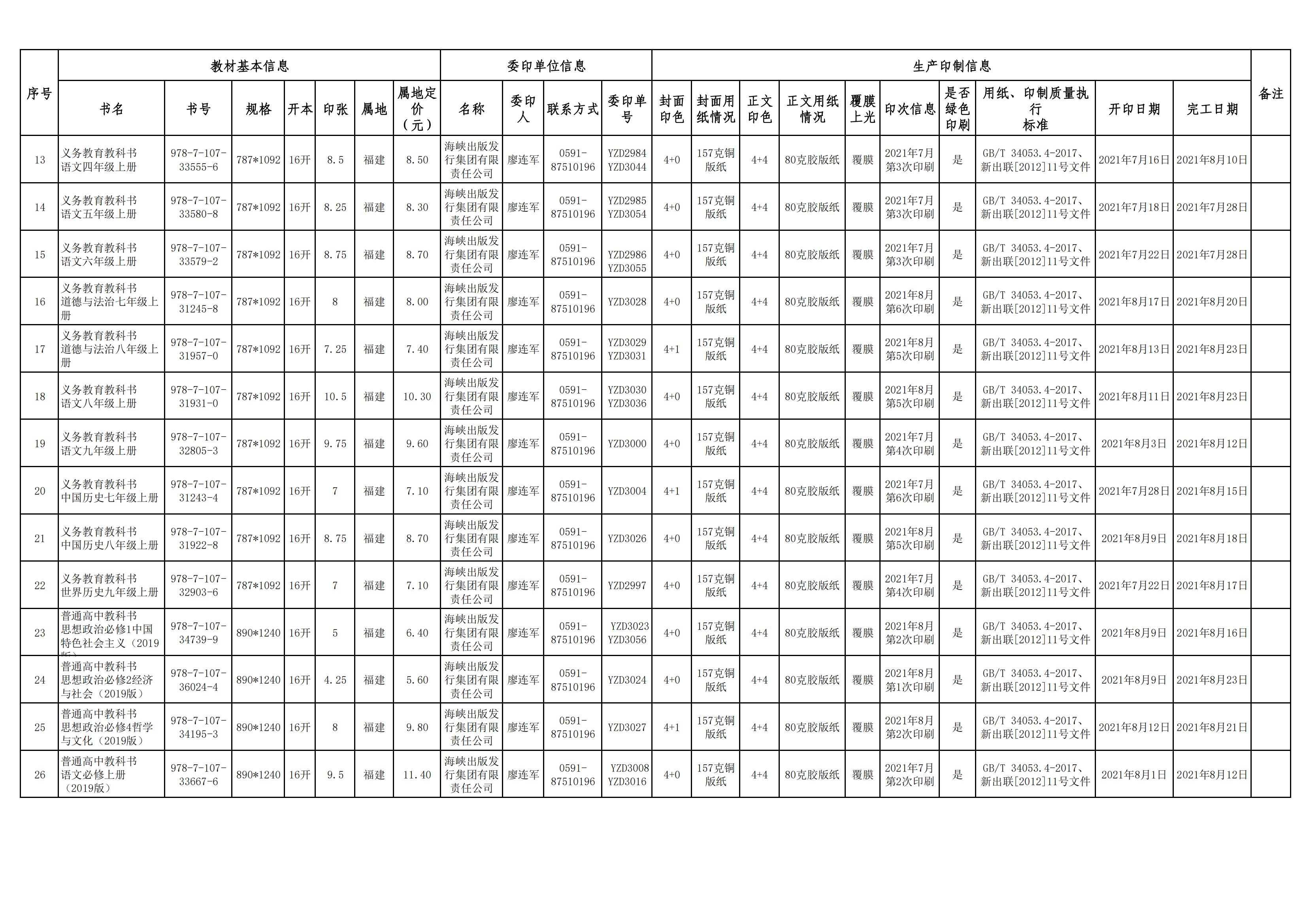
新华2021秋统编三科教材生产印制信息明细表(承印企业填报).xlsx
上一篇: fun88有限公司委外印刷及...
下一篇: 2022年春季统编三科教材生产印制信息公示...
手机端
PC端